SOLUTION: sole & check for extraneous solutions. X^1/2-(x-5)^1/2=2 some how the answer is 81/16 but i dont know how to solve it

Algebra ->  Rational-functions -> SOLUTION: sole & check for extraneous solutions. X^1/2-(x-5)^1/2=2 some how the answer is 81/16 but i dont know how to solve it       Log On


   



Question 703976: sole & check for extraneous solutions.
X^1/2-(x-5)^1/2=2
some how the answer is 81/16 but i dont know how to solve it

Found 3 solutions by lwsshak3, MathTherapy, greenestamps:
Answer by lwsshak3(11628) About Me  (Show Source):
You can put this solution on YOUR website!
sovle & check for extraneous solutions.
X^1/2-(x-5)^1/2=2
√x-√(x-5)=2
square both sides
x-2√x(x-5)=4
-2√x(x-5)=4-x
square both sides again
4(x^2-5x)=16-8x+x^2
4x^2-20x=16-8x+x^2
3x^2-12x-16=0
solve for x using completing the square method.
3(x^2-4x+4)=16+12
3(x-2)^2=28
(x-2)^2=28/3
x-2=±√(28/3)
x=2±√(28/3)
x=2±√(28/3)
x≈2±3.055
x≈5.055
or
x≈-1.055(reject, x≥0)

Answer by MathTherapy(10839) About Me  (Show Source):
You can put this solution on YOUR website!
sole & check for extraneous solutions. 
X^1/2-(x-5)^1/2=2 
some how the answer is 81/16 but i dont know how to solve it
************************************************************
The other person's solutions, 
"x≈5.055
or
x≈-1.055(reject, x≥0)" are WRONG. 
Although you provided the correct answer, he/she failed to match it.
Why bother to respond when you can't provide help, as needed? It's a SHAME!!!
                 matrix%282%2C1%2C+%22+%22%2C+x%5E%281%2F2%29+-+%28x+-+5%29%5E%281%2F2%29+=+2%29
                         sqrt%28x%29+-+sqrt%28x+-+5%29+=+2 ----- Converting 1%2F2-power to radical (square root), or matrix%282%2C1%2C+%22+%22%2C+a%5E%281%2F2%29%29 to sqrt%28a%29 
The SMALLER radicand, x - 5, CANNOT be negative (< 0). So, x+-+5+%3E=+0 ==> x+%3E=+5. We now have:
                        sqrt%28x%29+-+sqrt%28x+-+5%29+=+2, with x+%3E=+5
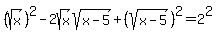
%28sqrt%28x%29%29%5E2+-+2sqrt%28x%29sqrt%28x+-+5%29+%2B+%28sqrt%28x+-+5%29%29%5E2+=+2%5E2 ---- Squaring each side
           x+-+2sqrt%28x%28x+-+5%29%29+%2B+x+-+5+=+4
             2x+-+2sqrt%28x%5E2+-+5x%29+-+5+=+4
                    -+2sqrt%28x%5E2+-+5x%29+=+4+-+2x+%2B+5
                    -+2sqrt%28x%5E2+-+5x%29+=+9+-+2x
               %28-+2sqrt%28x%5E2+-+5x%29%29%5E2+=+%289+-+2x%29%5E2 ---- Squaring each side
                      4%28x%5E2+-+5x%29+=+81+-+36x+%2B+4x%5E2
                        4x%5E2+-+20x+=+81+-+36x+%2B+4x%5E2
        4x%5E2+-+4x%5E2+-+20x+%2B+36x+=+81
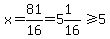
                              16x = 81
                                  highlight%28matrix%281%2C3%2C+x+=+81%2F16%2C+or%2C+5%261%2F16%29%29 <=== This DEFINITELY matches your answer!

Per the above constraint, x+%3E=+5, and x+=+81%2F16+=+5%261%2F16+%3E=+5.
So, 81%2F16 is a VALID and ACCEPTABLE value fox x, in this instance!

Answer by greenestamps(13355) About Me  (Show Source):
You can put this solution on YOUR website!


sqrt%28x%29-sqrt%28x-5%29=2

Move the second square root to the right side of the equation so that there is only one square root expression on each side of the equation, then square both sides of the equation.

sqrt%28x%29=2%2Bsqrt%28x-5%29
x=2%2B%28x-5%29%2B4sqrt%28x-5%29
1=4sqrt%28x-5%29

Square both sides again to get rid of the last square root expression.

1=16%28x-5%29
1=16x-80
81=16x
x=81%2F16

The potential solution is x = 81/16; but we have squared both sides of the original equation, so any solutions we found might be extraneous. Check to see if the solution satisfies the original equation.

sqrt%2881%2F16%29-sqrt%2881%2F16-5%29=2
sqrt%2881%2F16%29-sqrt%281%2F16%29=2
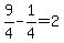
9%2F4-1%2F4=2
2=2

The solution is not extraneous.

ANSWER: 81/16