Question 691019: Use a cubic function whose graph passes through the points (-3,0),(0,-6),(-2,0),(1,0)
Answer by KMST(5328) (Show Source):
You can put this solution on YOUR website! Since the graph passes through the points (-3,0),(-2,0), and (1,0),
your cubic function has zeros at , , and .
If a polynomial has a zero at , it has (x-a) as a factor.
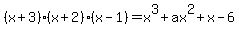
So your cubic function has as a factor.
Since that is already a cubic, the only other factor we need is a real number 
Your cubic function is

For , we know that f(0)=-6, because the graph passes through (0,-6).
Then, --> and
|
|
|