SOLUTION: 4^2x-1 = the square root of 2 4^2x-1 = 2^1/2 2x-1 = 1/2 2x = 1/2 + 1 x = 3/2 divided by 2 x = 3/2 * 1/2 x = 3/4 But this answer doesn't work in the equation. Can you pl

Algebra ->  Rational-functions -> SOLUTION: 4^2x-1 = the square root of 2 4^2x-1 = 2^1/2 2x-1 = 1/2 2x = 1/2 + 1 x = 3/2 divided by 2 x = 3/2 * 1/2 x = 3/4 But this answer doesn't work in the equation. Can you pl      Log On


   



Question 673355: 4^2x-1 = the square root of 2
4^2x-1 = 2^1/2
2x-1 = 1/2
2x = 1/2 + 1
x = 3/2 divided by 2
x = 3/2 * 1/2
x = 3/4
But this answer doesn't work in the equation. Can you please help me?

Found 2 solutions by ewatrrr, Alan3354:
Answer by ewatrrr(24785) About Me  (Show Source):
You can put this solution on YOUR website!
 
Hi,
4^(2x-1) = 2^1/2
**2^2(2x-1) = 2^1/2
2(2x-1) = 1/2
4x - 2 = 1/2
4x = 5/2
x = 5/8

Answer by Alan3354(69443) About Me  (Show Source):
You can put this solution on YOUR website!
4^2x-1 = the square root of 2
4^2x-1 = 2^1/2
2x-1 = 1/2 ********* This is not true.
2x = 1/2 + 1
x = 3/2 divided by 2
x = 3/2 * 1/2
x = 3/4
But this answer doesn't work in the equation. Can you please help me?
============
4%5E%282x-1%29+=+2%5E%281%2F2%29
%282%5E2%29%5E%282x-1%29+=+2%5E%281%2F2%29
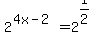
2%5E%284x-2%29+=+2%5E%281%2F2%29
4x-2 = 1/2
4x = 5/2
x = 5/8