SOLUTION: 4x^2-28x X 2X^2-18 -------- ------- x^2-11x+28 X^2-7X+12 Divide. Write the answer in lowest terms.

Algebra ->  Rational-functions -> SOLUTION: 4x^2-28x X 2X^2-18 -------- ------- x^2-11x+28 X^2-7X+12 Divide. Write the answer in lowest terms.       Log On


   



Question 663697: 4x^2-28x X 2X^2-18
-------- -------
x^2-11x+28 X^2-7X+12
Divide. Write the answer in lowest terms.

Answer by ewatrrr(24785) About Me  (Show Source):
You can put this solution on YOUR website!
 
Hi,
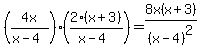
%284x%28x-7%29%29%2F%28%28x-7%29%28x-4%29%29+=+4x%2F%28x-4%29
%282%28x-3%29%28x%2B3%29%29%2F%28%28x-3%29%28x-4%29%29=+2%28x%2B3%29%2F%28x-4%29
%284x%2F%28x-4%29%29%282%28x%2B3%29%2F%28x-4%29%29=+8x%28x%2B3%29%2F%28x-4%29%5E2
Donations on my website are appreciated. Thanks. ewatrrr
http://math-is-magical.weebly.com/index.html