Question 636012: f(x)=2x^2-5x-5/x-2 find the vertical asymptote and the slant asymptote
Answer by jsmallt9(3758) (Show Source):
You can put this solution on YOUR website! First of all, please put parentheses around numerators and denominators , especially if they have more than one term. What you posted, without the parentheses, means:

But I'm guessing that what you intended was f(x)=(2x^2-5x-5)/(x-2):

If I'm wrong then you will have to re-post your problem. If I'm right then please use parentheses to make your expressions clear. Tutors are more likely to help if they don't have to guess what the problem really is.
For a rational function, vertical asymptotes, if any, will occur for x values that make the denominator zero. To find vertical asymptotes you set the denominator equal to zero and solve:
x-2 = 0
Solving this we get:
x = 2
So there will be just one vertical asymptote, at the line x = 2.
The best way to find slant a slant asymptote is to- Divide the numerator by the denominator. This can be done with long division or, if the denominator is right form, synthetic division.
- Analyze the resulting divided version of the function for large positive and negative values of x. Pay particular attention to the remainder fraction.
Let's see this:
1. Divide.
With a denominator of x-2, we can use synthetic division. (If you don't know or like using synthetic division, then use long division.)
2 | 2 -5 -5
==== 4 -2
================
2 -1 -7
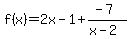
The remainder is in the lower right hand corner, -7. The quotient is the rest of the bottom line. The "2 -1" translates into 2x-1. So the divided version of f(x) is:

2. Analyze.
For very large positive or negative vales of x, the denominator of -7/(x-2) will be become very large. As the denominator of a fraction gets bigger and bigger, the value of the fraction get smaller and smaller. Eventually the fraction will become very close to zero. So for very large x's the fraction, being very close to zero, will contribute very little to the value of f(x) as a whole. For large x's the value of f(x) will be very close to whatever 2x-1 is. So the slant asymptote for f(x) will be:
y = 2x-1
|
|
|