SOLUTION: For f of x, f(x)=3(x-4)squared - 1 find the coordinates of the vertex, the equation of the axis of symmetry, the x-intercepts(if any) and the y-intercept.

Algebra ->  Rational-functions -> SOLUTION: For f of x, f(x)=3(x-4)squared - 1 find the coordinates of the vertex, the equation of the axis of symmetry, the x-intercepts(if any) and the y-intercept.      Log On


   



Question 62480: For f of x, f(x)=3(x-4)squared - 1 find the coordinates of the vertex, the equation of the axis of symmetry, the x-intercepts(if any) and the y-intercept.
Answer by 303795(602) About Me  (Show Source):
You can put this solution on YOUR website!
f%28x%29=3%28x-4%29%5E2-1
The axis of symmetry is at x=4 because x=4 makes the part in the bracket = 0.
The vertex is on the axis of symmetry so it will be at -1. Can either just look at the -1 at the end of the equation or substitute x=4 into the equation.
The y intercept occurs when x=0 so substitute x=0 into the equation.
f%28x%29=3%280-4%29%5E2-1
f%28x%29=3%2A16-1
f%28x%29=48-1
f%28x%29=47
The x intercepts occur when f(x)=0 so substitute that into the equation.
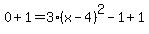
0=3%28x-4%29%5E2-1 Add 1 to each side of the equation
0%2B1=3%28x-4%29%5E2-1%2B1
1=3%28x-4%29%5E2 Divide each side by 3
1%2F3=3%28x-4%29%5E2%2F3
1%2F3=%28x-4%29%5E2 Find the square root of each side
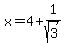
1%2Fsqrt%283%29=x-4 or -%281%2Fsqrt%283%29%29=x-4 Solve for x by adding 4 to each side of the equation
x+=+4+%2B+1%2Fsqrt%283%29 or x=4-%281%2Fsqrt%283%29%29