SOLUTION: SQRT(3X+1) - SQRT (X-1)= 2, SOLVE COULD BE 2 ANSWERS

Algebra ->  Rational-functions -> SOLUTION: SQRT(3X+1) - SQRT (X-1)= 2, SOLVE COULD BE 2 ANSWERS      Log On


   



Question 62177: SQRT(3X+1) - SQRT (X-1)= 2, SOLVE COULD BE 2 ANSWERS
Answer by joyofmath(189) About Me  (Show Source):
You can put this solution on YOUR website!
sqrt%283x%2B1%29+-+sqrt%28x-1%29=+2
Add sqrt(x-1) to both sides: sqrt%283x%2B1%29+=+2%2Bsqrt%28x-1%29.
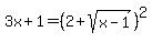
Square both sides: 3x%2B1+=+%282%2Bsqrt%28x-1%29%29%5E2.
Or, 3x%2B1+=+4%2B4sqrt%28x-1%29%2Bx-1.
Combine like terms: 2x-2+=+4sqrt%28x-1%29.
Square both sides: %282x-2%29%5E2+=+%284sqrt%28x-1%29%29%5E2.
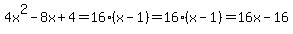
Or, 4x%5E2-8x%2B4+=+16%28x-1%29+=+16%28x-1%29+=+16x+-+16.
So, 4x%5E2-24x%2B20+=+0.
Divide the whole equation by 4: x%5E2-6x%2B5+=+0.
Factor the equation: %28x-5%29%28x-1%29+=+0 so x=5 or x=1.
Verify:
When x=5, sqrt%283x%2B1%29-sqrt%28x-1%29+=+sqrt%2816%29-sqrt%284%29=4-2 which is indeed 2.
When x=1, sqrt%283x%2B1%29-sqrt%28x-1%29+=+sqrt%284%29-sqrt%280%29+=+2.