|
Question 621573: Please help me solve the equation 8x^2+28=36 I need to factor for the larger and smaller values. I would appreciate if I could get all steps involved.
Found 2 solutions by josmiceli, KMST: Answer by josmiceli(19441) (Show Source): Answer by KMST(5328) (Show Source):
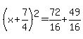
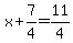
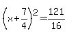
You can put this solution on YOUR website! --> --> --> --> --> or 
But I suspect you may have a typo and the problem was a bit more complicated.
In general you would first have a polynomial on the left side equal to zero on the right side.
For example:
--> --> 
Next you would look for factors that are common to all the terms, as in
--> --> 
In that case, since 4 is not zero the other factor must be zero, so you would be looking for solutions to

The next step in factoring quadratic trinomials like is "deconstructing" the product of the two factors.
The product initially has one term in , one independent term (with no x) and two terms in that are later joined by "collecting like terms."
Factoring is simpler when there is no coefficient in front of the .
If there is one, you first multiply it times the independent term (the term without x).
In this case you get , but do not worry much about the sign, just think of 18 for now.
You look for pairs of factors that multiply to yield that number, and list them all.
In this case there are only 3 pairs:



From the negative sign of the independent term (-9) you know that there is a factor with a negative sign and one with a positive sign, which will ultimately give rise to the term with a positive sign.
You look for a pair of factors from the listing above that will add to 7 when given opposite signs.
The answer is 9-2=7.
So the deconstructed product will be

Grouping the terms in pairs and taking out common factors comes next

After finding the factors, solving the equation is easy
The whole solution can be summarized as
--> --> --> --> or 
There are two solutions:
--> --> and
--> 
|
|
|
| |