SOLUTION: we have to do long division and show our work i've done some but I think i might of messed up:
problem: x(to third) + x(squared) -4x - 4 divided by x+2
Algebra ->
Rational-functions
-> SOLUTION: we have to do long division and show our work i've done some but I think i might of messed up:
problem: x(to third) + x(squared) -4x - 4 divided by x+2
Log On
Question 61457: we have to do long division and show our work i've done some but I think i might of messed up:
problem: x(to third) + x(squared) -4x - 4 divided by x+2 Found 2 solutions by josmiceli, funmath:Answer by josmiceli(19441) (Show Source):
You can put this solution on YOUR website! we have to do long division and show our work i've done some but I think i might of messed up:
problem: x(to third) + x(squared) -4x - 4 divided by x+2
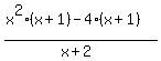
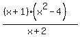
I am limited in my ability to show you long division by Java Script, but this one can be solved without long division.
(x+1)(x-2)
:
Happy Calculating!!!