SOLUTION: Simplify -5/(x-4) + (x-6)/10 then divide by (x+3)/(x-4). Assume all expressions are defined.

Algebra ->  Rational-functions -> SOLUTION: Simplify -5/(x-4) + (x-6)/10 then divide by (x+3)/(x-4). Assume all expressions are defined.      Log On


   



Question 603639: Simplify -5/(x-4) + (x-6)/10 then divide by (x+3)/(x-4). Assume all expressions are defined.
Answer by mananth(16946) About Me  (Show Source):
You can put this solution on YOUR website!
%28-5%2F%28x-4%29%29+%2B+%28%28x-6%29%2F10%29/%28x%2B3%29%2F%28x-4%29


LCM is 10(x-4)

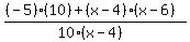
%28%28-5%29%2A%2810%29%2B%28x-4%29%28x-6%29%29%2F%2810%28x-4%29%29/%28%28x%2B3%29%2F%28x-4%29%29


%28-50%2Bx%5E2-10x%2B24%29%2F%2810%28x-4%29%29/%28%28x%2B3%29%2F%28x-4%29%29

%28x%5E2-10x-26%29%2F%2810%28x-4%29%29/%28%28x%2B3%29%2F%28x-4%29%29

%28x%5E2-10x-26%29%2F%2810%28x-4%29%29*%28%28x-4%29%2F%28x%2B3%29%29

%28x%5E2-10x-26%29%2F%2810%28x%2B3%29%29