Question 583086: PLEASE help! My teacher didn't explain.
I have to write a rational function with the given asymptotes.
a. x=-2, y=0
b. x=4,y=0
c.x=2,x=1,y=1
d.x=0,y= -1
Thank you so much!
Found 2 solutions by KMST, solver91311: Answer by KMST(5379) (Show Source):
You can put this solution on YOUR website! a) Vertical asymptotes. like x=-2, happen only when a denominator is zero.
has a vertical asymptote at x=-2
As x approaches -2, the denominator approaches zero and the absolute value of f(x) grows without bounds. The graph of looks like this:
Coincidentally that function also has as an asymptote, as you can see from the graph.
As the absolute value of x (and consequently of x+2) grows larger, and larger, f(x) grows closer and closer to zero. A horizontal asymptote happens when your rational function is a quotient and the denominator polynomial has a higher degree than the numerator.
CAUTION: Not every time a denominator is zero, you have a vertical asymptote.
If you make sure that the denominator, and only the denominator is zero at x=-2, you can be sure that the function will have an x=-2 asymptote.
If the numerator and denominator are zero at the same time, the function can be equivalent to another function that does not have a vertical asymptote.
For example, is equivalent to for all values of x except x=-2, and you know that graphs as a horizontal line with , and does not have a vertical asymptote. The graph for looks just like the same horizontal y=1 line, except for a hole at x=-2, where p(x) does not exist.
b) From what I said above, you must realize that for a vertical asymptote, you need the denominator to be zero for .
would work. It also has a asymptote, because the denominator, x-4 has degree 1, and the numerator, 1, has degree zero.
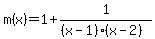
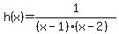
c) has asymptotes and because those are zeros of the denominator.
The only horizontal asymptote for is and we need , but that is easy to fix: we just add 1.
has , and asymptotes.
You can make it look fancier:
= + = + =
d) For an asymptote we want x as a factor in the denominator, but not tin the numerator. A asymptote would be easier, but you saw in part c) how you can get a horizontal asymptote at a different y value
= has and asymptotes.
+ = would work too.
Answer by solver91311(24713) (Show Source):
|
|
|