SOLUTION: I am so lost, i could really use some major help!! I know i have to factor... (x ) (x ) = 0 Can you please show & explain how to do them.. i know its kind of alot but i have a

Algebra ->  Rational-functions -> SOLUTION: I am so lost, i could really use some major help!! I know i have to factor... (x ) (x ) = 0 Can you please show & explain how to do them.. i know its kind of alot but i have a       Log On


   



Question 582046: I am so lost, i could really use some major help!!
I know i have to factor... (x ) (x ) = 0
Can you please show & explain how to do them..
i know its kind of alot but i have a test tomorrow :/
But i have no clue how to even set problems like these up..
1. x+2/x = 2x+4/3
2. 4/x+1 = x-1/x+5
3. x/2x+1 = 2x/x+2
4. x/5 = -4/x-9
5. x^2 + 3/7x = x+1/6
Thankkk you sooo muchhh!!!!

Answer by ankor@dixie-net.com(22740) About Me  (Show Source):
You can put this solution on YOUR website!
1. %28%28x%2B2%29%29%2Fx = %28%282x%2B4%29%29%2F3
Since you have single fractions on each side of the =, you can cross multiply
3(x+2) = x(2x+4)
3x + 6 = 2x^2 + 4x
arrange as a quadratic equation on the right
0 = 2x^2 + 4x - 3x - 6
0 = 2x^2 + x - 6
the will factor to
(2x-3)(x+2) = 0
two solutions
2x = 3
x = 1.5
and
x = -2
You should check all our solutions in original problems
:
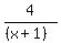
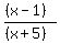
2. 4%2F%28%28x%2B1%29%29 = %28%28x-1%29%29%2F%28%28x%2B5%29%29
Cross multiply
4(x+5) = (x+1)(x-1)
4x + 20 = x^2 + x - x - 1
0 = x^2 - 4x - 1 - 20
0 = x^2 - 4x - 21
Factors to
(x-7)(x+3) = 0
x = +7
x = -3
:
Do 3 and 4 the same way
3. x/2x+1 = 2x/x+2
4. x/5 = -4/x-9
:
I am not sure what you mean in this one, use brackets to clarify things here
5. x^2 + 3/7x = x+1/6