SOLUTION: 3(x+1)^(4/3) = 48

Algebra ->  Rational-functions -> SOLUTION: 3(x+1)^(4/3) = 48      Log On


   



Question 574509: 3(x+1)^(4/3) = 48
Answer by KMST(5328) About Me  (Show Source):
You can put this solution on YOUR website!
Let's first simplify it a bit. I cannot get those exponents to show properly, but you know what I mean.
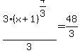
3%28x%2B1%29%5E%284%2F3%29=+48 --> 3%28x%2B1%29%5E%284%2F3%29%2F3+=+48%2F3 --> %28x%2B1%29%5E%284%2F3%29+=+16
The rest gets a little more creative, using properties of exponents. (Note that I got creative writing %283%2F4%29 as 0.75 at one point. I did it to avoid the problem with the tops of exponents being chopped off).
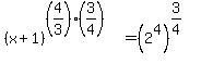
%28x%2B1%29%5E%284%2F3%29+=+16 --> %28%28x%2B1%29%5E%284%2F3%29%29%5E%283%2F4%29+=+16%5E%283%2F4%29 --> %28x%2B1%29%5E%28%284%2F3%29%2A%283%2F4%29%29=%282%5E4%29%5E%283%2F4%29 --> %28x%2B1%29%5E1=2%5E%28%284%2A0.75%29%29 --> x%2B1=2%5E3 --> x%2B1=8 --> highlight%28x=7%29