SOLUTION: I'm having a lot of trouble with this one problem and I'm not sure how you are able to solve it. Can you please also show me the steps to solving it? 4x^3+7x-2x/2x^2-162* 12x-60/4

Algebra ->  Rational-functions -> SOLUTION: I'm having a lot of trouble with this one problem and I'm not sure how you are able to solve it. Can you please also show me the steps to solving it? 4x^3+7x-2x/2x^2-162* 12x-60/4      Log On


   



Question 572748: I'm having a lot of trouble with this one problem and I'm not sure how you are able to solve it. Can you please also show me the steps to solving it?
4x^3+7x-2x/2x^2-162* 12x-60/4x^2+15x-4* x^2+9x/x^2-3x-10
Thanks for the help!

Answer by KMST(5328) About Me  (Show Source):
You can put this solution on YOUR website!
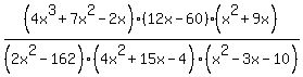
I believe you meant something like:
=((4x^3+7x-2x)/(2x^2-162))*((12x-60)/(4x^2+15x-4))*((x^2+9x)/(x^2-3x-10))
A whole bunch of parentheses are needed if you cannot write a horizontal fraction bar. (Those wonderful fraction bars come with invisible sets of brackets enclosing numerator and denominator).
I also believe you lost an exponent 2, so I'll put it back, and I'll multiply all those fractions into one, as we do with numbers:

Next comes a lot of factoring
=,
followed by cancelling out factors that appear on both sides of the fraction bar
=%2812%2F2%29%28x%2Ax+%2F%28x-9%29%28x%2B4%29%29