SOLUTION: Let f(x)=5x^4 -7x^2 +4. a. How many zeros does f(x) have? b. Based on the graph, how many real number zeros does f(x) have? I know the answers are a. 4 and b.2 but I don't

Algebra ->  Rational-functions -> SOLUTION: Let f(x)=5x^4 -7x^2 +4. a. How many zeros does f(x) have? b. Based on the graph, how many real number zeros does f(x) have? I know the answers are a. 4 and b.2 but I don't      Log On


   



Question 558544: Let f(x)=5x^4 -7x^2 +4.
a. How many zeros does f(x) have?
b. Based on the graph, how many real number zeros does f(x) have?
I know the answers are a. 4 and b.2 but I don't understand how you get that. Can you explain please? These are from my exam review packet. Help !!

Answer by KMST(5328) About Me  (Show Source):
You can put this solution on YOUR website!
a. I agree that it should have 4 complex zeros, because it is a polynomial of degree 4.
b. Why the reference to a graph? Are you supposed to use a graphing calculator?
Are you supposed to calculate minima and maxima based on derivatives?
A graphing calculator would show you somthing like this
graph%28300%2C300%2C-1.5%2C1.5%2C-2%2C14%2C5x%5E4-7x%5E2%2B4%29 showing that there are no real zeros.
You could graph with just pencil and paper, based on the derivative, if you knew a little calculus. You could analyze the function easily enough.
The function is an even function, symmetrical with respect to the y-axis, meaning that f(x)=f(-x). It is obvious that for x with large absolute value, the function is positive, and it grows without bounds towards both ends (towards -infinity and +infinity).
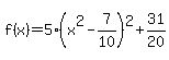
A little algebra can transform the function into
f%28x%29=5%28x%5E2-7%2F10%29%5E2%2B31%2F20
which tells you that f%28x%29%3E=31%2F20.
The minima will occur when x%5E2=7%2F10 and you will have f%28x%29=31%2F20 then.
You could also try to solve
5x%5E4-7x%5E2%2B4=0 by changing variables with y=x%5E2 to find that there are no real solutions for y, so there are no rela solutions for x either.