SOLUTION: How can I add these? 4g/3g-6 + 7g/6g-12

Algebra ->  Rational-functions -> SOLUTION: How can I add these? 4g/3g-6 + 7g/6g-12      Log On


   



Question 554972: How can I add these? 4g/3g-6 + 7g/6g-12
Answer by Maths68(1474) About Me  (Show Source):
You can put this solution on YOUR website!
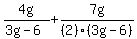
=4g%2F%283g-6%29+%2B+7g%2F%286g-12%29
=4g%2F%283g-6%29+%2B+7g%2F%282%29%283g-6%29
Take LCD
=%28%284g%29%282%29%2B7g%29%2F%282%29%283g-6%29
=%288g%2B7g%29%2F%282%29%283g-6%29
=15g%2F%282%29%283g-6%29