SOLUTION: Simplify {{{(x^2+4x+3)/(x^2+7x+12)-(x^2+5x+4)/(x^2-3x-4)}}} please show steps

Algebra ->  Rational-functions -> SOLUTION: Simplify {{{(x^2+4x+3)/(x^2+7x+12)-(x^2+5x+4)/(x^2-3x-4)}}} please show steps      Log On


   



Question 550674: Simplify %28x%5E2%2B4x%2B3%29%2F%28x%5E2%2B7x%2B12%29-%28x%5E2%2B5x%2B4%29%2F%28x%5E2-3x-4%29 please show steps
Found 2 solutions by JBarnum, stanbon:
Answer by JBarnum(2146) About Me  (Show Source):
You can put this solution on YOUR website!
%28x%5E2%2B4x%2B3%29%2F%28x%5E2%2B7x%2B12%29-%28x%5E2%2B5x%2B4%29%2F%28x%5E2-3x-4%29find the two numbers that multiply to get C and add to get B in each expression Ax%5E2%2BBx%2BC
1&3 1*3=3 1+3=4
4&3 4+3=12 4+3=7
1&4 1*4=4 1+4=5
1&-4 1*-4=-4 1+-4=-3
locate the 1s
canceled out the 1s
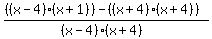
%28x%2B1%29%2F%28x%2B4%29-%28x%2B4%29%2F%28x-4%29 multiply both fractions by the 1/1 that make a commom denomonator

%28%28%28x-4%29%28x%2B1%29%29-%28%28x%2B4%29%28x%2B4%29%29%29%2F%28%28x-4%29%28x%2B4%29%29foil
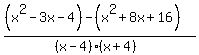
%28%28x%5E2-4x%2Bx-4%29-%28x%5E2%2B4x%2B4x%2B16%29%29%2F%28%28x-4%29%28x%2B4%29%29add like terms
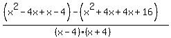
%28%28x%5E2-3x-4%29-%28x%5E2%2B8x%2B16%29%29%2F%28%28x-4%29%28x%2B4%29%29multiply in the -1
%28x%5E2-3x-4-x%5E2-8x-16%29%2F%28%28x-4%29%28x%2B4%29%29add like terms
highlight%28%28-11x-20%29%2F%28%28x-4%29%28x%2B4%29%29%29

Answer by stanbon(75887) About Me  (Show Source):
You can put this solution on YOUR website!
Simplify (x^2+4x+3)/(x^2+7x+12)-(x^2+5x+4)/(x^2-3x-4) please show steps
---
Factor where you can to get:
[(x+3)(x+1)/(x+3)(x+4)] - [(x+4)(x+1)/(x-4)(x+1)]
----
Simplify each fraction:
-----
= [(x+1)/(x+4)] - [(x+4)/(x-4)]
-----
= [(x+1)(x-4)-(x^2+8x+16)/(x^2-16)
----
= [x^2-3x-4-x^2-8x-16]/(x^2-16)
-----
= (-11x-20]/[x^2-16]
========================
Cheers,
Stan H.
=============