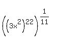
SOLUTION: (11^sqrt(3x^2)^22
Algebra
->
Rational-functions
-> SOLUTION: (11^sqrt(3x^2)^22
Log On
Algebra: Rational Functions, analyzing and graphing
Section
Solvers
Solvers
Lessons
Lessons
Answers archive
Answers
Click here to see ALL problems on Rational-functions
Question 549825
:
(11^sqrt(3x^2)^22
Answer by
jim_thompson5910(35256)
(
Show Source
):
You can
put this solution on YOUR website!
So