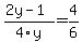
SOLUTION: Hi, if you will please help with this problem, and please give me step by step insrtuctions if you do that as well {{{(2y-1)/4y=4/6}}} Thank you very much for your time and he

Algebra ->  Rational-functions -> SOLUTION: Hi, if you will please help with this problem, and please give me step by step insrtuctions if you do that as well {{{(2y-1)/4y=4/6}}} Thank you very much for your time and he      Log On


   



Question 544631: Hi, if you will please help with this problem, and please give me step by step insrtuctions if you do that as well
%282y-1%29%2F4y=4%2F6
Thank you very much for your time and help.

Answer by JBarnum(2146) About Me  (Show Source):
You can put this solution on YOUR website!
%282y-1%29%2F4y=4%2F6 reduce 4/6 to 2/3
4y%28%282y-1%29%2F4y%29=4y%282%2F3%29multiply both sides by 4y
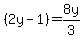
%282y-1%29=8y%2F3 multiply both sides by 3
3%282y-1%29=cross%283%29%288y%2Fcross%283%29%29
3%282y-1%29=8y distribute the 3
6y-3=8y subtract 6y from both sides
-3=2y Divide by 2
highlight%28-3%2F2=y%29