SOLUTION: im working on >>>> Adding and Subtracting Rational Expressions 7/(x+2)-4/(2 x-3)

Algebra ->  Rational-functions -> SOLUTION: im working on >>>> Adding and Subtracting Rational Expressions 7/(x+2)-4/(2 x-3)      Log On


   



Question 503737: im working on >>>> Adding and Subtracting Rational Expressions

7/(x+2)-4/(2 x-3)

Found 2 solutions by jim_thompson5910, oberobic:
Answer by jim_thompson5910(35256) About Me  (Show Source):
You can put this solution on YOUR website!

7%2F%28x%2B2%29-4%2F%282x-3%29


%287%282x-3%29%29%2F%28%28x%2B2%29%282x-3%29%29-4%2F%282x-3%29


%2814x-21%29%2F%28%28x%2B2%29%282x-3%29%29-4%2F%282x-3%29


%2814x-21%29%2F%28%28x%2B2%29%282x-3%29%29-%284%28x%2B2%29%29%2F%28%28x%2B2%29%282x-3%29%29


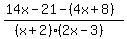
%2814x-21%29%2F%28%28x%2B2%29%282x-3%29%29-%284x%2B8%29%2F%28%28x%2B2%29%282x-3%29%29


%2814x-21-%284x%2B8%29%29%2F%28%28x%2B2%29%282x-3%29%29


%2814x-21-4x-8%29%2F%28%28x%2B2%29%282x-3%29%29


%2810x-29%29%2F%28%28x%2B2%29%282x-3%29%29


%2810x-29%29%2F%282x%5E2%2Bx-6%29


So 7%2F%28x%2B2%29-4%2F%282x-3%29 simplifies to %2810x-29%29%2F%282x%5E2%2Bx-6%29


In other words, 7%2F%28x%2B2%29-4%2F%282x-3%29+=+%2810x-29%29%2F%282x%5E2%2Bx-6%29


If you need more help, feel free to email me at jim_thompson5910@hotmail.com
or you can visit my website here: http://www.freewebs.com/jimthompson5910/home.html

Thanks,

Jim

Answer by oberobic(2304) About Me  (Show Source):