SOLUTION: Write the rational expression in lowest terms. {{{(m^2-4m)/(4-m)}}}

Algebra ->  Rational-functions -> SOLUTION: Write the rational expression in lowest terms. {{{(m^2-4m)/(4-m)}}}      Log On


   



Question 46574: Write the rational expression in lowest terms.
%28m%5E2-4m%29%2F%284-m%29

Found 2 solutions by tutorcecilia, Nate:
Answer by tutorcecilia(2152) About Me  (Show Source):
You can put this solution on YOUR website!
%28m%5E2-4m%29%2F%284-m%29[Factor]
.
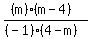
%28%28m%29%28m-4%29%29%2F%284-m%29%29
.
%28%28m%29%28m-4%29%29%2F%28%28-1%29%284-m%29%29 [Multiply the denominator by (-1)]
.
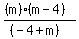
%28%28m%29%28m-4%29%29%2F%28%28-4%2Bm%29%29 [Switch the order of the denominator]
.
%28%28m%29%28m-4%29%29%2F%28%28m-4%29%29 [Cancel]
.
(m)[final answer]

Answer by Nate(3500) About Me  (Show Source):