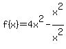
SOLUTION: find the inverse of: f (x) = 4x^ - x^ _________ x^

Algebra ->  Rational-functions -> SOLUTION: find the inverse of: f (x) = 4x^ - x^ _________ x^      Log On


   



Question 456912: find the inverse of:
f (x) = 4x^ - x^
_________
x^

Answer by spacesurfer(12) About Me  (Show Source):
You can put this solution on YOUR website!
Ok, if you are saying your f%28x%29+=+%284x%5E2-x%5E2%29%2Fx%5E2, then this reduces to f%28x%29+=+3x%5E2%2Fx%5E2+=+3 or f(x) = 3 or y = 3.
To find inverse, we replace y with x and solve for y, but this has no x so the inverse is simply x = 3. Both are lines.
If you are saying your f%28x%29+=+4x%5E2+-+x%5E2%2Fx%5E2, then this reduces to f(x) = 4x^2 - 1 or y = 4x^2 -1.
Now, replace x with y and solve for y:
x = 4y^2 - 1 --> 4y^2 = x + 1 --> y^2 = (x + 1)/4 and
y = +%2B-+sqrt%28%28x%2B1%29%2F4%29
But I think you really didn't write your equation correctly.