SOLUTION: The asymptotes of the function g(x)= x+2/x^2+2x-3 are?
Algebra
->
Rational-functions
-> SOLUTION: The asymptotes of the function g(x)= x+2/x^2+2x-3 are?
Log On
Algebra: Rational Functions, analyzing and graphing
Section
Solvers
Solvers
Lessons
Lessons
Answers archive
Answers
Click here to see ALL problems on Rational-functions
Question 446018
:
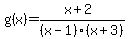
The asymptotes of the function g(x)= x+2/x^2+2x-3 are?
Answer by
Gogonati(855)
(
Show Source
):
You can
put this solution on YOUR website!
, and its asymptotes are: x=1 and x=-3, because
and