SOLUTION: How Do I Find Any Restricions on the varible.. for example im going to give you 3 random problems and one from my homework.. were learning something like this: x^2 +7x +12 /

Algebra ->  Rational-functions -> SOLUTION: How Do I Find Any Restricions on the varible.. for example im going to give you 3 random problems and one from my homework.. were learning something like this: x^2 +7x +12 /       Log On


   



Question 444213: How Do I Find Any Restricions on the varible.. for example im going to give you 3 random problems and one from my homework..
were learning something like this:
x^2 +7x +12 / x^2-9 : its random numbers .. do i simplify?, i dont understand?
this one is Alittle Harder this is from my homework because i dont understand this one . i did the rest butt this is a challengeing one he said :
(x+3)(2x-1) / x(x+4) Divided by (-x-3)(2x+1) / x i guess i dont understand because i guess it had the divistion in the middle,, then we have minus and plus.

x^2-1/x^2+2x-3 - X-1/x^2-4

and ill use 2 4 and 1 for this + problem:
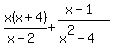
x(x+4)/x-2 + X-1/X^2-4
Please help me this is my last hope i tried with my other answers and got them but i feel i need more practice and the one with the division is the only on i didn't do on my homework. please

Answer by ewatrrr(24785) About Me  (Show Source):
You can put this solution on YOUR website!
 
Hi
Finding Any Restrictions
Note: generally the restrictions would be when the DENOMINATOR = 0
as there can be NO zero in a denominator
%28x%5E2+%2B7x+%2B12%29+%2F%28+x%5E2-9%29 Restrictions: x≠ 3 and x≠ -3
Restrictions: x≠ 0, -4,-3,-1/2
x%28x%2B4%29%2F%28x-2%29+%2B+%28x-1%29%2F%28x%5E2-4%29 Restrictions: x≠ 2, -2
Note: x^2-4 = (x-2)(x+2)