SOLUTION: I dont knw how to solve the equations and check them : help? My Teacher Gave me 50 probelms of these . i am only asking to do those so maybe after i knw how to do the rest of the 4

Algebra ->  Rational-functions -> SOLUTION: I dont knw how to solve the equations and check them : help? My Teacher Gave me 50 probelms of these . i am only asking to do those so maybe after i knw how to do the rest of the 4      Log On


   



Question 444212: I dont knw how to solve the equations and check them : help? My Teacher Gave me 50 probelms of these . i am only asking to do those so maybe after i knw how to do the rest of the 45 problems
1. x/2=x+1/4 --> have to solve and check I tryed to like elimate the bottom to like 2 because 2 can go into 4 so i thought the bottom woulve be 2 then i thought the top would be x^2+1 soo maybe the answer would be x^2+1/2?
2. 3/x-1=4/3x+2 ^^
3. 3x/x+1=0 ^^
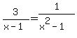
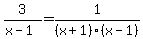
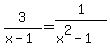
4.3/x-1=1/x^2-1
Please Help me this is 75% of my grade AND its not even a test :(

Found 2 solutions by ewatrrr, Leaf W.:
Answer by ewatrrr(24785) About Me  (Show Source):
You can put this solution on YOUR website!
 
Hi
1,2 and 4 Set Up for Cross Multiplying to solve:
x%2F2+=+%28x%2B1%29%2F4 4x = 2(x+1) 2x = 2 x = 1
3%2F%28x-1%29+=+4%2F%283x%2B2%29 3(3x+2) = 4(x-1) 5x = -10 x = -2
3%2F%28x-1%29+=+1%2F%28x%5E2-1%29
3(x^2-1) = (x-1)
3x^2 - x -2 = 0
factoring
(3x+2)(x-1) = 0
(3x+2)= 0 x = -2/3
(x-1)= 0 x = 1
3. 3x/(x+1) = 0 x = 0 would work

Answer by Leaf W.(135) About Me  (Show Source):
You can put this solution on YOUR website!
1. x%2F2+=+%28x%2B1%29%2F4
Find the least common denominator (LCD) between 2 and 4... 4. Multiply the entire equation by this LCD: 4%28x%2F2%29+=+%28%28x%2B1%29%2F4%294
Simplify: 2x+=+x+%2B+1
Solve for x by subtracting x from both sides: x+=+1
Therefore, x = 1
2. 3%2F%28x-1%29+=+4%2F%283x+%2B+2%29
Find the LCD between x-1 and 3x+2... (x-1)(3x+2) Multiply the entire equation by this LCD: %28x-1%29%283x%2B2%29%283%2F%28x-1%29%29+=+%28x-1%29%283x%2B2%29%284%2F%283x%2B2%29%29
Simplify (NOTE: the (x-1) and /(x-1) cancel each other out, and the same with the (3x+2) and /(3x+2)): 3%283x%2B2%29+=+4%28x-1%29
Distribute: 9x%2B6+=+4x-4
Subtract 6 from both sides: 9x+=+4x-10
Subtract 4x from both sides: 5x+=+-10
Divide both sides by 5: x+=+-2
Therefore, x = -2
3. 3x%2F%28x%2B1%29+=+0
Since there is only one denominator, the LCD is x+1.
%28x%2B1%29%283x%2F%28x%2B1%29%29+=+0%28x%2B1%29
Simplify (NOTE: The (x+1) and /(x+1) cancel each other out, and 0 multiplied by anything is 0): 3x+=+0
Divide both sides by 3: x+=+0
Therefore, x = 0
4. 3%2F%28x-1%29+=+1%2F%28x%5E2+-+1%29
Factor the denominator (x%5E2+-+1 is a difference of squares, so (x+1)(x-1)): 3%2F%28x-1%29+=+1%2F%28x%2B1%29%28x-1%29
Find the LCD between x-1 and (x+1)(x-1)... (x+1)(x-1). Multiply the entire equation by this: %28x%2B1%29%28x-1%29%283%2F%28x-1%29%29+=+%28x%2B1%29%28x-1%29%281%2F%28x%2B1%29%28x-1%29%29
Simplify: 3%28x%2B1%29+=+1
Distribute: 3x+%2B+3+=+1
Subtract 3 from both sides: 3x+=+-2
Divide both sides by 3: x+=+-2%2F3
Therefore, x+=+-2%2F3