SOLUTION: Please help me solve this problem!! :( {{{(x^2-36)/(x^2-8x+16)}}} divided by {{{(3x-18)/(x^2-x-12)}}}

Algebra ->  Rational-functions -> SOLUTION: Please help me solve this problem!! :( {{{(x^2-36)/(x^2-8x+16)}}} divided by {{{(3x-18)/(x^2-x-12)}}}       Log On


   



Question 439689: Please help me solve this problem!! :(
%28x%5E2-36%29%2F%28x%5E2-8x%2B16%29 divided by %283x-18%29%2F%28x%5E2-x-12%29

Answer by asuar010(338) About Me  (Show Source):
You can put this solution on YOUR website!
the first step is to simplify each fraction separately...
first simplify: %28x%5E2-36%29%2F%28x%5E2-8x%2B16%29=%28%28x%2B6%29%28x-6%29%29%2F%28%28x%2B4%29%28x-4%29%29
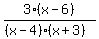
then: %283x-18%29%2F%28x%5E2-x-12%29=3%28x-6%29%2F%28%28x-4%29%28x%2B3%29%29
then since it is a division between polynomials it becomes a multiplication by finding the reciprocal of the denominator and looks like this:
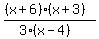
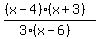
%28%28x%2B6%29%28x-6%29%29%2F%28%28x%2B4%29%28x-4%29%29*%28%28x-4%29%28x%2B3%29%29%2F%283%28x-6%29%29 and by simplifying common terms on the numerator and the denominator we obtain: %28%28x%2B6%29%28x%2B3%29%29%2F%283%28x-4%29%29