SOLUTION: Subtract and simplify 3/x^2+10x-56 - 2/x^2+16x+28

Algebra ->  Rational-functions -> SOLUTION: Subtract and simplify 3/x^2+10x-56 - 2/x^2+16x+28      Log On


   



Question 376614: Subtract and simplify
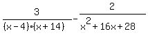
3/x^2+10x-56 - 2/x^2+16x+28

Answer by jim_thompson5910(35256) About Me  (Show Source):
You can put this solution on YOUR website!
3%2F%28x%5E2%2B10x-56%29+-+2%2F%28x%5E2%2B16x%2B28%29 Start with the given expression.


3%2F%28%28x-4%29%28x%2B14%29%29+-+2%2F%28x%5E2%2B16x%2B28%29 Factor the first denominator.


3%2F%28%28x-4%29%28x%2B14%29%29+-+2%2F%28%28x%2B2%29%28x%2B14%29%29 Factor the second denominator.


Notice that the LCD is %28x%2B2%29%28x-4%29%28x%2B14%29


Multiply the first fraction by %28x%2B2%29%2F%28x%2B2%29 (to get the denominator equal to the LCD)


Multiply the second fraction by %28x-4%29%2F%28x-4%29 (to get the denominator equal to the LCD)


Distribute.


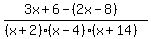
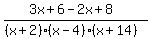
%283x%2B6-+%282x-8%29%29%2F%28%28x%2B2%29%28x-4%29%28x%2B14%29%29 Combine the numerators and place them over the LCD


%283x%2B6-2x%2B8%29%2F%28%28x%2B2%29%28x-4%29%28x%2B14%29%29 Distribute.


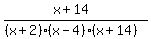
%28x%2B14%29%2F%28%28x%2B2%29%28x-4%29%28x%2B14%29%29 Combine like terms.


highlight%28%28x%2B14%29%29%2F%28%28x%2B2%29%28x-4%29highlight%28%28x%2B14%29%29%29 Highlight the common terms.


cross%28%28x%2B14%29%29%2F%28%28x%2B2%29%28x-4%29cross%28%28x%2B14%29%29%29 Cancel out the common terms.


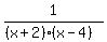
1%2F%28%28x%2B2%29%28x-4%29%29 Simplify


1%2F%28x%5E2-2x-8%29 FOIL


So 3%2F%28x%5E2%2B10x-56%29+-+2%2F%28x%5E2%2B16x%2B28%29=1%2F%28x%5E2-2x-8%29


If you need more help, email me at jim_thompson5910@hotmail.com

Also, feel free to check out my tutoring website

Jim