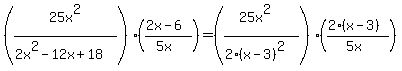
SOLUTION: Multiply and simplify. 25x^2/ 2x^2-12x+18 * 2x-6/5x
Algebra
->
Rational-functions
-> SOLUTION: Multiply and simplify. 25x^2/ 2x^2-12x+18 * 2x-6/5x
Log On
Algebra: Rational Functions, analyzing and graphing
Section
Solvers
Solvers
Lessons
Lessons
Answers archive
Answers
Click here to see ALL problems on Rational-functions
Question 376085
:
Multiply and simplify.
25x^2/ 2x^2-12x+18 * 2x-6/5x
Answer by
Fombitz(32388)
(
Show Source
):
You can
put this solution on YOUR website!