SOLUTION: Find the circumference of the circle whose equation is x^2+y^2-6x+8=0.

Algebra ->  Rational-functions -> SOLUTION: Find the circumference of the circle whose equation is x^2+y^2-6x+8=0.      Log On


   



Question 374189: Find the circumference of the circle whose equation is x^2+y^2-6x+8=0.
Answer by Fombitz(32388) About Me  (Show Source):
You can put this solution on YOUR website!
Complete the square in x and y to find the equation of the circle.
x%5E2%2By%5E2-6x%2B8=0
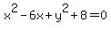
x%5E2-6x%2By%5E2%2B8=0
%28x%5E2-6x%2B9%29%2B%28y-0%29%5E2%2B8=9
%28x-3%29%5E2%2B%28y-0%29%5E2=1
The circle has a radius of R=1
C=2%2Api%2AR=2%2Api%2A1=highlight%282%2Api%29