SOLUTION: Solve by completing the square: x2 +1/2x=1

Algebra ->  Rational-functions -> SOLUTION: Solve by completing the square: x2 +1/2x=1       Log On


   



Question 366823: Solve by completing the square:
x2 +1/2x=1

Answer by jsmallt9(3758) About Me  (Show Source):
You can put this solution on YOUR website!
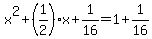
x%5E2+%2B+%281%2F2%29x+=+1
To complete the square we will start by figuring out 1/2 of the coefficient of x (which is also 1/2). 1/2 of 1/2 is 1/4. We then take this ans square it. 1/4 squared is 1/16. This is what we will add to each side to "complete the square":
x%5E2+%2B+%281%2F2%29x+%2B+1%2F16+=+1+%2B+1%2F16
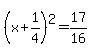
On the left we now have a perfect square trinomial. On the right we just add 1 and 1/16:
%28x+%2B+1%2F4%29%5E2+=+17%2F16
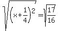
Now we find the square root of each side:
sqrt%28%28x+%2B+1%2F4%29%5E2%29+=+sqrt%2817%2F16%29
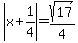
abs%28x+%2B+1%2F4%29+=+sqrt%2817%29%2Fsqrt%2816%29
which simplifies to:
abs%28x+%2B+1%2F4%29+=+sqrt%2817%29%2F4
We can now remove the absolute value:
x+%2B+1%2F4+=+0+%2B-+sqrt%2817%29%2F4
(Note: The extra 0 on the left side is there because Algebra.com's software will not let me use the "plus or minus" symbol without having a number or variable in front of it.)
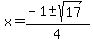
And last of all we subtract 1/4 (or add a -1/4):
x+=+-1%2F4+%2B-+sqrt%2817%29%2F4
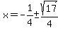
which can also be written as:
x+=+%28-1+%2B-+sqrt%2817%29%29%2F4