SOLUTION: Solving Rational Equations x/x+3 + 1/x-3 = 1

Algebra ->  Rational-functions -> SOLUTION: Solving Rational Equations x/x+3 + 1/x-3 = 1      Log On


   



Question 365106: Solving Rational Equations
x/x+3 + 1/x-3 = 1

Answer by Fombitz(32388) About Me  (Show Source):
You can put this solution on YOUR website!
x%2F%28x%2B3%29+%2B+1%2F%28x-3%29+=+1
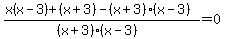
Use the common denominator, %28x-3%29%28x%2B3%29
.
.

.
.
%28x%28x-3%29%2B+%28x%2B3%29-+%28x%2B3%29%28x-3%29%29%2F%28%28x%2B3%29%28x-3%29%29=0
.
.
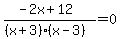
%28x%5E2-3x%2Bx%2B3-x%5E2%2B9%29%2F%28%28x%2B3%29%28x-3%29%29=0
.
.
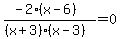
%28-2x%2B12%29%2F%28%28x%2B3%29%28x-3%29%29=0
.
.
%28-2%28x-6%29%29%2F%28%28x%2B3%29%28x-3%29%29=0
.
.
x-6=0
.
.
highlight%28x=6%29