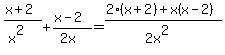
SOLUTION: Simplify x+2 over x^2 + x-2 over 2x
Algebra
->
Rational-functions
-> SOLUTION: Simplify x+2 over x^2 + x-2 over 2x
Log On
Algebra: Rational Functions, analyzing and graphing
Section
Solvers
Solvers
Lessons
Lessons
Answers archive
Answers
Click here to see ALL problems on Rational-functions
Question 362886
:
Simplify
x+2 over x^2 + x-2 over 2x
Answer by
Fombitz(32388)
(
Show Source
):
You can
put this solution on YOUR website!