SOLUTION: I am working on functions and graphs the problem that is giving me problems is Express f(x) in the form a(x-h)^2+k where f(x)= -3/4x^2+9x-34. I know i use the vertex formula of -b

Algebra ->  Rational-functions -> SOLUTION: I am working on functions and graphs the problem that is giving me problems is Express f(x) in the form a(x-h)^2+k where f(x)= -3/4x^2+9x-34. I know i use the vertex formula of -b      Log On


   



Question 362377: I am working on functions and graphs the problem that is giving me problems is
Express f(x) in the form a(x-h)^2+k where f(x)= -3/4x^2+9x-34. I know i use the vertex formula of -b/2(a) and once i get the answer i plug it in for x to get k my problem is the fraction

Answer by Fombitz(32388) About Me  (Show Source):
You can put this solution on YOUR website!
No, you need to complete the square.
+f%28x%29=+-%283%2F4%29x%5E2%2B9x-34
f%28x%29=-%283%2F4%29%28x%5E2-12x%29-34
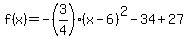
f%28x%29=-%283%2F4%29%28x%5E2-12x%2B36%29-34%2B%283%2F4%29%2836%29
f%28x%29=-%283%2F4%29%28x-6%29%5E2-34%2B27
highlight%28f%28x%29=-%283%2F4%29%28x-6%29%5E2-7%29