SOLUTION: (x/(x-3))+((x^2-2)/(9-x^2))=(1/(x+3)

Algebra ->  Rational-functions -> SOLUTION: (x/(x-3))+((x^2-2)/(9-x^2))=(1/(x+3)      Log On


   



Question 359013: (x/(x-3))+((x^2-2)/(9-x^2))=(1/(x+3)
Answer by Fombitz(32388) About Me  (Show Source):
You can put this solution on YOUR website!

Use a common denominator, x%5E2-9=%28x%2B3%29%28x-3%29

%28x%28x%2B3%29%2B2-x%5E2%29-%28x-3%29%29%2F%28%28x-3%29%28x%2B3%29%29=0
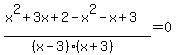
%28x%5E2%2B3x%2B2-x%5E2-x%2B3%29%2F%28%28x-3%29%28x%2B3%29%29=0
%282x%2B5%29%2F%28%28x-3%29%28x%2B3%29%29=0
This can only occur when the numerator equals zero.
2x%2B5=0
2x=-5
highlight%28x=-5%2F2%29