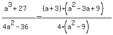
SOLUTION: Simplify: a^3+27 / 4a^2-36
Algebra
->
Rational-functions
-> SOLUTION: Simplify: a^3+27 / 4a^2-36
Log On
Algebra: Rational Functions, analyzing and graphing
Section
Solvers
Solvers
Lessons
Lessons
Answers archive
Answers
Click here to see ALL problems on Rational-functions
Question 356791
:
Simplify: a^3+27 / 4a^2-36
Answer by
Fombitz(32388)
(
Show Source
):
You can
put this solution on YOUR website!