SOLUTION: find the LCD and simplify (1/x^2-x-2)- (x/x^2-5x+6)
Algebra
->
Rational-functions
-> SOLUTION: find the LCD and simplify (1/x^2-x-2)- (x/x^2-5x+6)
Log On
Algebra: Rational Functions, analyzing and graphing
Section
Solvers
Solvers
Lessons
Lessons
Answers archive
Answers
Click here to see ALL problems on Rational-functions
Question 341265
:
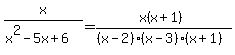
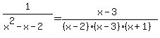
find the LCD and simplify (1/x^2-x-2)- (x/x^2-5x+6)
Answer by
Fombitz(32388)
(
Show Source
):
You can
put this solution on YOUR website!
LCD=
.
.
.