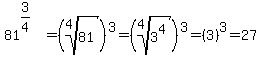
SOLUTION: 81^3/4--> i need to write an equivalent expression
Algebra
->
Rational-functions
-> SOLUTION: 81^3/4--> i need to write an equivalent expression
Log On
Algebra: Rational Functions, analyzing and graphing
Section
Solvers
Solvers
Lessons
Lessons
Answers archive
Answers
Click here to see ALL problems on Rational-functions
Question 318390
:
81^3/4--> i need to write an equivalent expression
Answer by
jim_thompson5910(35256)
(
Show Source
):
You can
put this solution on YOUR website!
which means that