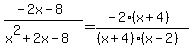
SOLUTION: reduce to lowest terms -2x-8/x^2+2x-8
Algebra
->
Rational-functions
-> SOLUTION: reduce to lowest terms -2x-8/x^2+2x-8
Log On
Algebra: Rational Functions, analyzing and graphing
Section
Solvers
Solvers
Lessons
Lessons
Answers archive
Answers
Click here to see ALL problems on Rational-functions
Question 316186
:
reduce to lowest terms -2x-8/x^2+2x-8
Answer by
Fombitz(32388)
(
Show Source
):
You can
put this solution on YOUR website!