SOLUTION: divide and simplify: -44+11z/2 divided by 9z-36/4
Algebra
->
Rational-functions
-> SOLUTION: divide and simplify: -44+11z/2 divided by 9z-36/4
Log On
Algebra: Rational Functions, analyzing and graphing
Section
Solvers
Solvers
Lessons
Lessons
Answers archive
Answers
Click here to see ALL problems on Rational-functions
Question 314253
:
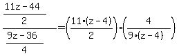
divide and simplify:
-44+11z/2 divided by 9z-36/4
Answer by
Fombitz(32388)
(
Show Source
):
You can
put this solution on YOUR website!
Dividing by a fraction is equivalent to multiplying by its reciprocal,