SOLUTION: Simplify ((1/x)-(1/x+1))/((-2/x+1)-(3/x))

Algebra ->  Rational-functions -> SOLUTION: Simplify ((1/x)-(1/x+1))/((-2/x+1)-(3/x))      Log On


   



Question 302220: Simplify ((1/x)-(1/x+1))/((-2/x+1)-(3/x))
Answer by london maths tutor(243) About Me  (Show Source):
You can put this solution on YOUR website!
Simplify ((1/x)-(1/x+1))/((-2/x+1)-(3/x))

%28%281%2F%28x%29%29-%281%2F%28x%2B1%29%29%29+ ÷ %28%28-2%2F%28x%2B1%29%29-%283%2Fx%29%29+
Common denominator : x(x+1)
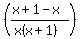
%28%28x%2B1-x%29%2F%28x%28x%2B1%29%29%29+÷ %28%28-2x-3%28x%2B1%29%29%29%2F%28x%28x%2B1%29%29%29+

%281%2F%28x%28x%2B1%29%29%29+÷ %28%28-2x-3x-3%29%2F%28x%28x%2B1%29%29%29+
%281%2F%28x%28x%2B1%29%29%29+÷ %28%28-5x-3%29%2F%28x%28x%2B1%29%29%29+
%281%2F%28x%28x%2B1%29%29%29+* %28%28x%28x%2B1%29%2F%28-5x-3%29%29%29+
Cancel out "x(x+1)"
1%2F%28-5x-3%29+