SOLUTION: Could you please help me with this problem Simplify as much as possible {{{10 over x^2-5x-14}}} + 2 over x-7

Algebra ->  Rational-functions -> SOLUTION: Could you please help me with this problem Simplify as much as possible {{{10 over x^2-5x-14}}} + 2 over x-7      Log On


   



Question 30001: Could you please help me with this problem
Simplify as much as possible
10+over+x%5E2-5x-14 + 2 over x-7

Answer by Cintchr(481) About Me  (Show Source):
You can put this solution on YOUR website!
+%2810%2F%28x%5E2-5x-14%29%29+%2B+%282%2F%28x-7%29%29+ factor the denominator of the first fraction
+%2810%2F%28%28x%2B2%29%28x-7%29%29%29+%2B+%282%2F%28x-7%29%29+ Common denom is (x+2)(x-7)
+%2810%2F%28%28x%2B2%29%28x-7%29%29%29+%2B+%28%282%28x%2B2%29%29%2F%28x-7%29%28x%2B2%29%29+ distribute the 2 on the numerator of the second fraction
+%2810%2F%28%28x%2B2%29%28x-7%29%29%29+%2B+%28%282x%2B4%29%29%2F%28x-7%29%28x%2B2%29%29+ Add the fractions
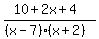
+%2810%2B2x%2B4%29%2F%28%28x-7%29%28x%2B2%29%29+ combine like terms
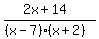
+%282x%2B14%29%2F%28%28x-7%29%28x%2B2%29%29+