SOLUTION: construct a rational function whose vertical asymptotes are located at x=2 and x=k where k<0.
Algebra
->
Rational-functions
-> SOLUTION: construct a rational function whose vertical asymptotes are located at x=2 and x=k where k<0.
Log On
Algebra: Rational Functions, analyzing and graphing
Section
Solvers
Solvers
Lessons
Lessons
Answers archive
Answers
Click here to see ALL problems on Rational-functions
Question 289093
:
construct a rational function whose vertical asymptotes are located at x=2 and x=k where k<0.
Answer by
Fombitz(32388)
(
Show Source
):
You can
put this solution on YOUR website!
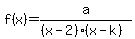
The simplest rational function is,
where a is any non-zero constant.