SOLUTION: sketch a function which has a vertical asymptote but no horizontal asymptote?
Algebra
->
Rational-functions
-> SOLUTION: sketch a function which has a vertical asymptote but no horizontal asymptote?
Log On
Algebra: Rational Functions, analyzing and graphing
Section
Solvers
Solvers
Lessons
Lessons
Answers archive
Answers
Click here to see ALL problems on Rational-functions
Question 288731
:
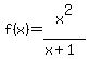
sketch a function which has a vertical asymptote but no horizontal asymptote?
Answer by
Fombitz(32388)
(
Show Source
):
You can
put this solution on YOUR website!
How about
?
.
.
.