SOLUTION: simplify:
4n/ n squared - 4 minus 2/n + 2 minus 2/n + 2
a. 2/n - 2
b. 4n - 2/n squared - n - 6
c. 2/n + 2
d. 1/n - 1
Thanks
Algebra ->
Rational-functions
-> SOLUTION: simplify:
4n/ n squared - 4 minus 2/n + 2 minus 2/n + 2
a. 2/n - 2
b. 4n - 2/n squared - n - 6
c. 2/n + 2
d. 1/n - 1
Thanks
Log On
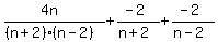
Question 271386: simplify:
4n/ n squared - 4 minus 2/n + 2 minus 2/n + 2
a. 2/n - 2
b. 4n - 2/n squared - n - 6
c. 2/n + 2
d. 1/n - 1
Thanks Answer by jsmallt9(3758) (Show Source):
You can put this solution on YOUR website!
Since subtractions can a source of errors for many people, I am going to start by changing the subtractions into additions:
and the last two terms have the same denominator so I will go ahead and add them:
To add the remaining fractions we need to get a common denominator first. And to find the Lowest Common Denominator (LCD) we need to factor each denominator:
From this we can see that
the LCD is (n+2)(n-2)
the first fraction already has the LCD as the denominator
the part of the LCD missing in the second denominator is n-2
So we will multiply the numerator and denominator of the second fraction by n-2:
which simplifies to:
Now we can add the fractions. (Leave the denominators factored for now.):
which does not match any of the provided answers. I don't see any errors so I must assume that there is something wrong in the problem you posted. I'm going to guess that the denominator of one of the last two fractions should be n-2 and not n+2. So I am going to solve the problem again with a n-2 denominator. (It doesn't matter which fraction because they are both the same.) I am not going to provide commentary this time. The logic is the same as above except, since the last two fractions no longer have the same denominator to start with, I will not be adding the last two fractions so early.
which doesn't match any of the provided answers either. I still see no errors in my work so I have to assume that either the provided answers are in correct or both the original equation and the one I guessed at are also wrong. But perhaps you have seen enough here to figure out the actual problem.