|
Question 269456: Hi. I am completely lost about this problem. Can you please explain how you get the answer. Thanks in advance
Find an equation of a rational function f that satisfies the conditions:
vertical asymptotes: x = - 1, x = 6
horizontal asymptote: y = 3
x-intercepts: - 7, 5
hole at x = 0
Found 2 solutions by drk, jsmallt9: Answer by drk(1908) (Show Source):
You can put this solution on YOUR website! Lets go one step at a time.
vertical asymptotes: x = - 1, x = 6
we get a basic idea that our function is
(i) 
-----
horizontal asymptote: y = 3
we know that as x approaches infinity, then the function approaches 3. SInce the denominator is degree 2, the numerator must be degree 2, so we could say
(ii) 
-----
x-intercepts: - 7, 5
If we let x = -7 or x = 5, then the function should become 0.
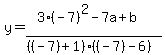
part 1 - x = -7 gets us
(iii) 
which becomes
(iv) 
this means that the numerator = 0, so
If a = 6, then b = -105. So our equation is now
(v) 
part 2 - x = 5 gets us
(vi) 
which becomes
(vii) 
this means that the numerator = 0, so
If a = 6, then b = -105. The key part is setting the numerator of (iv) = numerator of (vii) to get values for a and b that work
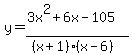
So, our new equation is
(viii) = 
-----
hole at x = 0
this means that we multiply both numerator and denominator by x to get our final answer equation as
(ix)
Answer by jsmallt9(3758) (Show Source):
You can put this solution on YOUR website! In a rational function...- Holes will occur for x values that make a factor in both the numerator and denominator zero. So if there is a hole at x=0 then (x-0), or x, is a factor of both the numerator and denominator. So at this point our function is
 - Vertical asymptotes occur for x values that make a factor of (just) the denominator zero. So if x = -1 and x = 6 are vertical asymptotes, then (x+1) and (x-6) are factors of the denominator. So now our function is:
 - X-intercepts occur for x values that make (just) the numerator zero. So if x = -7 and x = 5 are x-intercepts, then (x+7) and (x-5) are factors of the numerator. Now our function is:
 - Horizontal asymptotes exist only if the degree (highest exponent) of the numerator is less than or equal to the degree of the degree of the denominator. A horizontal asymptote of y = 0 occurs if the degree of the numerator is less than the degree of the numerator. Other horizontal asymptotes occur when the degrees are equal. And when the degrees are equal, then horizontal asymptote will be at the value of the ratio of the coefficients of the highest power terms in the numerator and denominator.
Since we want a horizontal asymptote of y = 3 we want...- The degrees of the numerator and denominator to be equal. Looking at the function we have so far:

we should be able to see that, after multiplying, the numerator will have an term and so will the denominator. So our degrees are already equal. - The ratio of the coefficients of our highest power terms, the
's, to be 3. Since our function so far has just in both the numerator and denominator, our ratio is currently 1/1. So we need to add a factor of 3 to the numerator:

So

fits all the requirements given. The only thing left is to simplify by multiplying out the numerator and denominator. (Don't cancel out any factors, even though the x factors will cancel, because then you lose the "hole".)

|
|
|
| |