SOLUTION: How about these? (3x-2)/(x+1)+(2x-3)/(2x-1) (5x)/(4x^2)+7/(x+1) Thanks so much!!!

Algebra ->  Rational-functions -> SOLUTION: How about these? (3x-2)/(x+1)+(2x-3)/(2x-1) (5x)/(4x^2)+7/(x+1) Thanks so much!!!      Log On


   



Question 263646: How about these? (3x-2)/(x+1)+(2x-3)/(2x-1)

(5x)/(4x^2)+7/(x+1)
Thanks so much!!!

Answer by drk(1908) About Me  (Show Source):
You can put this solution on YOUR website!
here are the functions
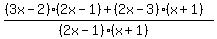
%28%283x-2%29%2F%28x%2B1%29%29%2B%28%282x-3%29%2F%282x-1%29%29
step 1 - get a common denominator of (2x-1)(x+1)
step 2 - change the numerators as
%28%283x-2%29%282x-1%29%2B%282x-3%29%28x%2B1%29%29%2F%28%282x-1%29%28x%2B1%29%29
step 3 - distribute to get
%286x%5E2-7x%2B2%2B2x%5E2-x-3%29%2F%28%282x-1%29%28x%2B1%29%29
step 4 - combine like terms to get
%288x%5E2-8x-1%29%2F%28%282x-1%29%28x%2B1%29%29
-----
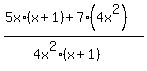
%28%285x%29%2F%284x%5E2%29%29%2B%287%2F%28x%2B1%29%29
step 1 - get a common denominator of 4x^2(x+1)
step 2 - change the numerators as
%285x%2A%28x%2B1%29+%2B+7%284x%5E2%29%29%2F%284x%5E2%2A%28x%2B1%29%29
step 3 - distribute to get
%285x%5E2+%2B+5x+%2B+28x%5E2%29%2F%284x%5E2%2A%28x%2B1%29%29
step 4 - combine like terms to get
%2833x%5E2+%2B+5x%29%2F%284x%5E2%2A%28x%2B1%29%29
step 5 - factor out an x to get
%28x%2833x%2B5%29%29%2F%284x%5E2%2A%28x%2B1%29%29
step 6 - reduce to get
%2833x%2B5%29%2F%284x%2A%28x%2B1%29%29