SOLUTION: x-3 divided by x^ - x - 20 X x^ - 3X-10 divided by x^ - 9
Algebra
->
Rational-functions
-> SOLUTION: x-3 divided by x^ - x - 20 X x^ - 3X-10 divided by x^ - 9
Log On
Algebra: Rational Functions, analyzing and graphing
Section
Solvers
Solvers
Lessons
Lessons
Answers archive
Answers
Click here to see ALL problems on Rational-functions
Question 25159
:
x-3 divided by x^ - x - 20
X
x^ - 3X-10 divided by x^ - 9
Answer by
rapaljer(4671)
(
Show Source
):
You can
put this solution on YOUR website!
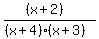
The first step is to factor everything!!
Divide out the factors of (x-3) and (x-5), and what is left is this:
R^2 at SCC