SOLUTION: Evaluate the function at the given value of the independent variable and simplify. f(x) = 3x-1
f(x)-f(1)
_________
x-1
I started working this problem but I think I'm doi
Algebra ->
Rational-functions
-> SOLUTION: Evaluate the function at the given value of the independent variable and simplify. f(x) = 3x-1
f(x)-f(1)
_________
x-1
I started working this problem but I think I'm doi
Log On
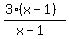
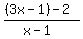
Question 236145: Evaluate the function at the given value of the independent variable and simplify. f(x) = 3x-1
f(x)-f(1)
_________
x-1
I started working this problem but I think I'm doing it the wrong way. I'm not sure if I'm suppose to substitue the 3x-1 in each place of f or x? Answer by Theo(13342) (Show Source):