SOLUTION: How do I do this? (x squared +1 over x-2)multiplied by (2x+1 over x+1)

Algebra ->  Rational-functions -> SOLUTION: How do I do this? (x squared +1 over x-2)multiplied by (2x+1 over x+1)      Log On


   



Question 22189: How do I do this?
(x squared +1 over x-2)multiplied by (2x+1 over x+1)

Answer by rapaljer(4671) About Me  (Show Source):
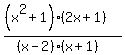
You can put this solution on YOUR website!
%28%28x%5E2%2B1%29%2F%28x-2%29%29%2A%28%282x%2B1%29%2F%28x%2B1%29%29+

In this problem, nothing factors, and nothing divides out! Certainly not your typical algebra problem!! The answer is to multiply the numerator times numerator, and denominator times denominator. There is no need to multiply out the factors. Factored form is actually preferred for the answer.

+%28%28x%5E2%2B1%29%282x%2B1%29%29%2F%28%28x-2%29%28x%2B1%29%29

R^2 at SCC