SOLUTION: determine the vertical asymptotes of g(x) = (x2 – 4) / (2x2 -5x + 2)

Algebra ->  Rational-functions -> SOLUTION: determine the vertical asymptotes of g(x) = (x2 – 4) / (2x2 -5x + 2)      Log On


   



Question 215975This question is from textbook Intermediate Algebra
: determine the vertical asymptotes of g(x) = (x2 – 4) / (2x2 -5x + 2) This question is from textbook Intermediate Algebra

Answer by jsmallt9(3758) About Me  (Show Source):
You can put this solution on YOUR website!
g%28x%29+=+%28x%5E2+-+4%29+%2F+%282x%5E2+-5x+%2B+2%29
Before looking for vertical asymptotes, you should simplify (reduce) the fraction if possible. To reduce this (or any fraction) we need to factor the numerator and denominator and look for common factors which can be canceled.

So we start with factoring. And factoring starts with the Greastest Common Factor (GCF). But the GCF of the numerator and the denominator is a 1 (which we often don't bother factoring).

Next we try any and all other factoring techniques in any order as many times as possible to factor each expression as completely as possible. Among these techniques are:
  • Factoring by patterns:
    • Difference of squares: a%5E2+-+b%5E2+=+%28a%2Bb%29%28a-b%29
    • Sum of Cubes: a%5E3+%2B+b%5E3+=+%28a%2Bb%29%28a%5E2+-ab+%2B+b%5E2%29
    • Difference of cubes: a%5E3+-+b%5E3+=+%28a-b%29%28a%5E2+%2Bab+%2B+b%5E2%29
    • Perfect square trinomials:
      • a%5E2+%2B+2ab+%2B+b%5E2+=+%28a%2Bb%29%28a%2Bb%29+=+%28a%2Bb%29%5E2
      • a%5E2+-+2ab+%2B+b%5E2+=+%28a-b%29%28a-b%29+=+%28a-b%29%5E2
  • Trinomial factoring
  • Factoring by Grouping
  • Factoring by trial and error of the possible rational roots

Since our numerator is a difference of squares, x%5E2+-+4+=+%28x%29%5E2+-+%282%29%5E2, we can use that pattern to factor it. The denominator does not fit any of the patterns but it is a trinomial which will factor. (If you do not see how the numerator and denominator factor, multiply out the factored forms ans see how you end up with the original expressions.)
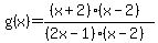
g%28x%29+=+%28%28x%2B2%29%28x-2%29%29%2F%28%282x-1%29%28x-2%29%29
Now we can see what values of for x must be excluded from the domain (because they make the denominator zero). We must exclude 1/2 and 2 from the domain of g(x). (If you do not see this, then solve (2x-1) = 0 and (x-2) = 0.)

we can also cancel the common factor of (x-2) leaving:
g%28x%29+=+%28x%2B2%29%2F%282x-1%29
Now we can determine the vertical asymptote(s). They would be the vertical lines for x values that make the reduced denominator zero: x = 1/2.
NOTE: x = 2 is not a vertical asymptote. g(x) is undefined at x=2 but there is a "hole" (aka discontinuity) at x=2 not a vertical asymptote. Unfortunately Algebra.com's graphing software will not show this "hole". You'll just have to picture a "hole" or gap at x=2 in the graph of g(x) below:
graph%28600%2C+600%2C+-2%2C+4%2C+-4%2C+4%2C+%28x%2B2%29%2F%282x-1%29%29
P.S. There is a horizontal asymptote of y = 1/2.